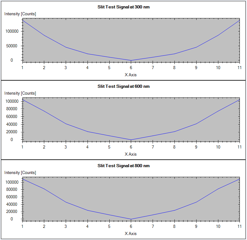
The slit test verifies correct operation of the micromechanical slit.
During the test, the slit is moved through all slit positions while the detector monitors the lamp intensity change. When the slit position is changed, the intensity drop (move to smaller slit) or intensity increase (move to larger slit) must be within a defined range.
If the test is performed with the flow cell removed, the test results are not influenced by solvent or pump effects.
If the intensity changes are outside the expected range, the test fails.
実行するタイミング
|
必要な部品
数量 | 部品番号 | 説明 | |
|---|---|---|---|
1 | ![]()
|
| Removed Flow Cell |
前提条件
|
Run the Slit Test with the Agilent Lab Advisor (for further information see Online-Help of user interface).


base-id: 3358473483
id: 3358473483